
It's no exaggeration to say that there are hundreds of millions of domestic cats worldwide, and perhaps just as many stray cats. It would seem that everything about their vocal behavior and physiology should already be known. However, if one tries to find such information, verified scientific data on these topics will prove scarce.
Mating calls of male and female cats can continue throughout the spring and cause considerable anxiety for their owners. However, from a biological perspective, this is a necessary part of their reproductive behavior, which can significantly influence mate choice and subsequent reproduction. Meowing evolves into another type of sound, a cry, which is emitted in loud bursts when a female cat is ready to mate and males compete for her attention with their own series of cries. Scientists have hypothesized that the sounds of male and female cats during mating season may convey information about the individuality of the vocalizing animal, its hormonal status, blood immunoglobulins, body weight, and overall readiness for reproduction.

Researchers from the A.N. Severtsov Institute of Ecology and Evolution of the Russian Academy of Sciences (IEE RAS) and Lomonosov Moscow State University studied the vocal behavior of domestic cats during the spring mating season at the IEE RAS Chernogolovka Research and Experimental Base. They analyzed the acoustic signatures of 10 male and 17 female Felis catus cats throughout the mating season, which lasted from March to June. They also examined the differences between the vocal signatures of "meows" and "cries" and their relationships with individual characteristics, sex, age, sex hormones, blood immunoglobulins, and body weight.

Fig.2: The sound spectrograms show the acoustic variability (A) in meows and (B) in howls. Figure (C) shows a portion of the natural series of howls produced by a female cat, ready for mating, calling for a male cat—a potential mate.
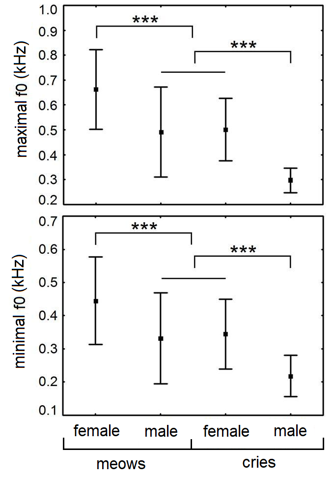
"Compared to meows, cries were longer and had lower fundamental and peak frequencies and energy quartiles. Cries were emitted in series with regular intervals between sounds and were much more likely to contain the articulatory "wave" effect than meows. Male meows and cries had lower fundamental frequencies than female meows and cries. Duration, peak frequency, and quartiles did not differ between the sexes for either meows or howls. A comparison of the meows and howls of 11 animals, from whom both meows and cries were recorded, revealed that individual characteristics were more pronounced in cries than in meows. No significant correlations were found between vocal parameters and body weight, age, or plasma immunoglobulins," said Elena Volodina, PhD, senior researcher at the Institute of Ecology and Evolution of the Russian Academy of Sciences.

Fig.3. Compared to meows, cries were much more likely to feature the articulatory phenomenon of a wave, which gave them a murmuring sound.
Surprisingly, all parameters of the fundamental frequency of female cats' cries were identical to those of male cats' meows. These results suggest that during estrus, female domestic cats are able to lower the pitch of their long-distance cries, thereby mimicking the meows of males. It is possible that the low fundamental frequency of female cats' cries may attract stronger, higher-ranking males, who are willing to compete for females with other males, while at the same time repelling low-ranking males or those in poor physical condition.

The results of the study were published in the Q2 issue of the journal Ethology Ecology & Evolution: Volodin I.A., Erofeeva M.N., Alekseeva G.S., Naidenko S.V., Zhuravleva P.S., Volobueva K.A., Kim M.D., Volodina E.V. Spring calls of male and female domestic cats (Felis catus): when meow goes to cry. Ethology Ecology & Evolution, 2025.