
Не будет преувеличением сказать, что в мире живут сотни миллионов домашних кошек-питомцев и возможно не меньше бродячих кошек. Казалось бы, про их вокальное поведение и физиологию все должно уже быть известно. Но если попытаться отыскать такую информацию, то проверенных научных данных по этим вопросам окажется очень мало.
Брачные крики котов и кошек могут продолжаться всю весну и доставить много беспокойства хозяевам. Однако с биологической точки зрения это необходимая часть их репродуктивного поведения, которая может оказывать важное влияние на выбор полового партнера и последующее размножение. Мяуканье переходит в другой тип звука, вопль, который издается громкими сериями, когда кошка становится готова к спариванию и коты конкурируют друг с другом за ее внимание, издавая свои серии воплей. Ученые предположили, что звуки котов и кошек в брачный период могут нести информацию об индивидуальной принадлежности кричащего животного, его гормональном статусе, иммуноглобулинах крови, весе тела и в целом о готовности к размножению.

Исследователи из Института проблем экологии и эволюции им. А.Н. Северцова РАН (ИПЭЭ РАН) и МГУ им. М.В. Ломоносова исследовали вокальное поведение домашних котов и кошек в течение весеннего брачного сезона на научно-экспериментальной базе ИПЭЭ РАН «Черноголовка». Были проанализированы акустические признаки звуков 10 самцов и 17 самок домашних кошек Felis catus на протяжении всего брачного сезона, который продолжался с марта по июнь. Также были исследованы различия между вокальными признаками “мяуканий” и “воплей”, и их взаимосвязь с индивидуальной принадлежностью, полом, возрастом, половыми гормонами, иммуноглобулинами крови и массой тела котов и кошек.

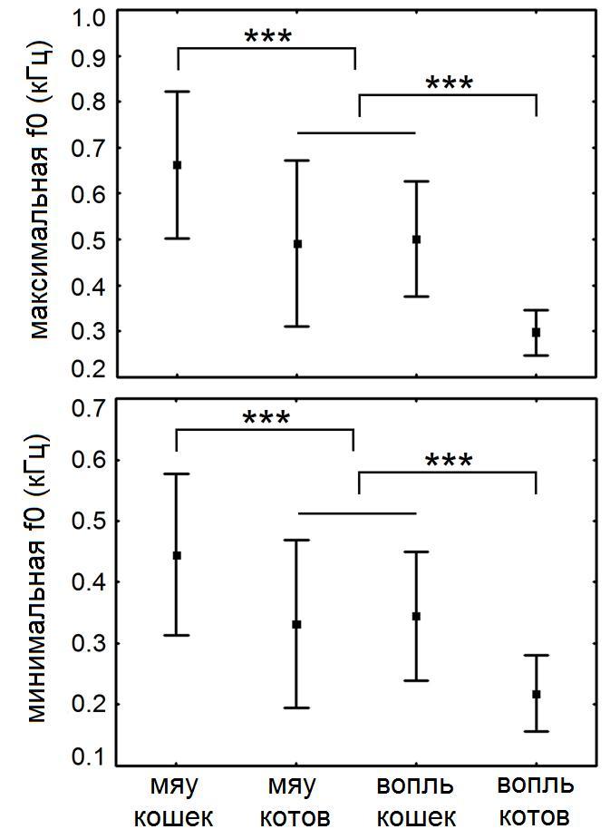
«По сравнению с мяуканьями вопли были длиннее и ниже по основной и пиковым частотам и по энергетическим квартилям. Вопли издавались сериями с регулярными интервалами между звуками и намного чаще содержали артикуляционный эффект «волна» по сравнению с мяуканьями. Мяуканья и вопли котов были ниже по основной частоте чем мяуканья и вопли самок. Длительность, пиковая частота и квартили не различались между полами ни в мяуканьях, ни в воплях. Сравнение мяуканий и воплей 11 животных от которых были записаны как мяуканья, так и вопли, показало, что индивидуальные особенности были сильнее выражены в воплях чем в мяуканьях. Не было найдено достоверных корреляций между вокальными параметрами и весом тела, возрастом и иммуноглобулинами плазмы крови», – рассказала к.б.н., старший научный сотрудник ИПЭЭ РАН Елена Володина.

Удивительно, что все параметры основной частоты воплей кошек не отличались от параметров мяуканий котов. Эти результаты дали возможность предположить, что в течение периодов эструса самки домашних кошек способны понижать высоту своих дальне-дистантных воплей и таким образом подражать мяуканьям самцов. Возможно, что низкая основная частота воплей кошек может привлекать более сильных высокоранговых котов, которые готовы конкурировать за самок с другими котами и в то же время отпугивать самцов низкого ранга или самцов в плохой физической кондиции.

Результаты исследования опубликованы в Q2 журнале Ethology Ecology & Evolution: Volodin I.A., Erofeeva M.N., Alekseeva G.S., Naidenko S.V., Zhuravleva P.S., Volobueva K.A., Kim M.D., Volodina E.V. Spring calls of male and female domestic cats (Felis catus): when meow goes to cry. Ethology Ecology & Evolution, 2025.
Материалы по теме:
Наука.Мейл: "Ученые изучили брачные «песни» домашних кошек"